Vinca alkaloid

Vinca alkaloids are a set of anti-mitotic and anti-microtubule alkaloid agents originally derived from the periwinkle plant Catharanthus roseus (basionym Vinca rosea) and other vinca plants. They block beta-tubulin polymerization in a dividing cell.
Sources
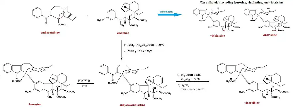
The Madagascan periwinkle Catharanthus roseus L. is the source for a number of important natural products,[1] including catharanthine and vindoline[2] and the vinca alkaloids it produces from them: leurosine and the chemotherapy agents vinblastine[3] and vincristine,[4] all of which can be obtained from the plant.[5][6][7][8] The newer semi-synthetic chemotherapeutic agent vinorelbine is used in the treatment of non-small-cell lung cancer[7][9] and is not known to occur naturally. However, it can be prepared either from vindoline and catharanthine[7][10] or from leurosine,[11] in both cases by synthesis of anhydrovinblastine, which "can be considered as the key intermediate for the synthesis of vinorelbine."[7] The leurosine pathway uses the Nugent–RajanBabu reagent in a highly chemoselective de-oxygenation of leurosine.[12][11] Anhydrovinblastine is then reacted sequentially with N-bromosuccinimide and trifluoroacetic acid followed by silver tetrafluoroborate to yield vinorelbine.[10]

Applications
Vinca alkaloids are used in chemotherapy for cancer. They are a class of cell cycle–specific cytotoxic drugs that work by inhibiting the ability of cancer cells to divide: Acting upon tubulin, they prevent it from forming into microtubules, a necessary component for cellular division.[13] The vinca alkaloids thus prevent microtubule polymerization, as opposed to the mechanism of action of taxanes.
Vinca alkaloids are now produced synthetically and used as drugs in cancer therapy and as immunosuppressive drugs. These compounds include vinblastine, vincristine, vindesine, and vinorelbine. Additional researched vinca alkaloids include vincaminol, vineridine, and vinburnine.
Vinpocetine is a semi-synthetic derivative of vincamine (sometimes described as "a synthetic ethyl ester of apovincamine").[14]
Minor vinca alkaloids include minovincine, methoxyminovincine, minovincinine, vincadifformine, desoxyvincaminol, and vincamajine.[15][16][17]
References
- ^ van der Heijden, Robert; Jacobs, Denise I.; Snoeijer, Wim; Hallard, Didier; Verpoorte, Robert (2004). "The Catharanthus alkaloids: Pharmacognosy and biotechnology". Current Medicinal Chemistry. 11 (5): 607–628. doi:10.2174/0929867043455846. PMID 15032608.
- ^ Hirata, K.; Miyamoto, K.; Miura, Y. (1994). "Catharanthus roseus L. (Periwinkle): Production of Vindoline and Catharanthine in Multiple Shoot Cultures". In Bajaj, Y. P. S. (ed.). Biotechnology in Agriculture and Forestry 26. Medicinal and Aromatic Plants. Vol. VI. Springer-Verlag. pp. 46–55. ISBN 9783540563914.
- ^ Sears, Justin E.; Boger, Dale L. (2015). "Total Synthesis of Vinblastine, Related Natural Products, and Key Analogues and Development of Inspired Methodology Suitable for the Systematic Study of Their Structure-Function Properties". Accounts of Chemical Research. 48 (3): 653–662. doi:10.1021/ar500400w. PMC 4363169. PMID 25586069.
- ^ Kuboyama, Takeshi; Yokoshima, Satoshi; Tokuyama, Hidetoshi; Fukuyama, Tohru (2004). "Stereocontrolled total synthesis of (+)-vincristine". Proceedings of the National Academy of Sciences of the United States of America. 101 (33): 11966–11970. Bibcode:2004PNAS..10111966K. doi:10.1073/pnas.0401323101. PMC 514417. PMID 15141084.
- ^ Gansäuer, Andreas; Justicia, José; Fan, Chun-An; Worgull, Dennis; Piestert, Frederik (2007). "Reductive C—C bond formation after epoxide opening via electron transfer". In Krische, Michael J. (ed.). Metal Catalyzed Reductive C—C Bond Formation: A Departure from Preformed Organometallic Reagents. Topics in Current Chemistry. Vol. 279. Springer Science & Business Media. pp. 25–52. doi:10.1007/128_2007_130. ISBN 9783540728795.
- ^ Cooper, Raymond; Deakin, Jeffrey John (2016). "Africa's gift to the world". Botanical Miracles: Chemistry of Plants That Changed the World. CRC Press. pp. 46–51. ISBN 9781498704304.
- ^ a b c d Keglevich, Péter; Hazai, Laszlo; Kalaus, György; Szántay, Csaba (2012). "Modifications on the basic skeletons of vinblastine and vincristine". Molecules. 17 (5): 5893–5914. doi:10.3390/molecules17055893. PMC 6268133. PMID 22609781.
- ^ Raviña, Enrique (2011). "Vinca alkaloids". The evolution of drug discovery: From traditional medicines to modern drugs. John Wiley & Sons. pp. 157–159. ISBN 9783527326693.
- ^ Faller, Bryan A.; Pandi, Trailokya N. (2011). "Safety and efficacy of vinorelbine in the treatment of non-small cell lung cancer". Clinical Medicine Insights: Oncology. 5: 131–144. doi:10.4137/CMO.S5074. PMC 3117629. PMID 21695100.
- ^ a b Ngo, Quoc Anh; Roussi, Fanny; Cormier, Anthony; Thoret, Sylviane; Knossow, Marcel; Guénard, Daniel; Guéritte, Françoise (2009). "Synthesis and biological evaluation of Vinca alkaloids and phomopsin hybrids". Journal of Medicinal Chemistry. 52 (1): 134–142. doi:10.1021/jm801064y. PMID 19072542.
- ^ a b Hardouin, Christophe; Doris, Eric; Rousseau, Bernard; Mioskowski, Charles (2002). "Concise synthesis of anhydrovinblastine from leurosine". Organic Letters. 4 (7): 1151–1153. doi:10.1021/ol025560c. PMID 11922805.
- ^ Morcillo, Sara P.; Miguel, Delia; Campaña, Araceli G.; Cienfuegos, Luis Álvarez de; Justicia, José; Cuerva, Juan M. (2014). "Recent applications of Cp2TiCl in natural product synthesis". Organic Chemistry Frontiers. 1 (1): 15–33. doi:10.1039/c3qo00024a. hdl:10481/47295.
- ^ Takimoto, C. H.; Calvo, E. (2008). "Chapter 3: Principles of Oncologic Pharmacotherapy". In Pazdur, R.; Wagman, L. D.; Camphausen, K. A.; Hoskins, W. J. (eds.). Cancer Management: A Multidisciplinary Approach (11th ed.). Cmp United Business Media. ISBN 978-1-891483-62-2. Archived from the original on 2009-05-15. Retrieved 2011-05-26.
- ^ Lörincz C, Szász K, Kisfaludy L (1976). "The synthesis of ethyl apovincaminate". Arzneimittel-Forschung. 26 (10a): 1907. PMID 1037211.
- ^ Plat, M; Fellion, E; Le Men, J; Janot, M (1962). "4 new alkaloids of Vinca minor L.: minovincine, methoxyminovincine, minovincinine and (-) vincadifformine, alkaloids of periwinkles". Ann. Pharm. Fr. (in French). 20: 899–906. PMID 13943964.
- ^ Smeyers, Yves G.; Smeyers, Nadine J.; Randez, Juan J.; Hernandez-Laguna, A.; Galvez-Ruano, E. (1991). "A structural and pharmacological study of alkaloids of Vinca Minor". Molecular Engineering. 1 (2): 153–160. doi:10.1007/BF00420051. S2CID 93210480.
- ^ Janot, M. M.; Le Men, J; Fan, C (1958). "The alkaloids of the periwinkles (Vinca): Relation between, vincamedine and vincamajine". Comptes Rendus Hebdomadaires des Séances de l'Académie des Sciences. 247 (25): 2375–7. PMID 13619121.