Pfitzinger reaction

Pfitzinger reaction
Named after Wilhelm Pfitzinger
Reaction type ring-condensation
Reaction
ketone or aldehyde
+
isatin
+
potassium hydroxide
quinoline-4-carboxylic acid
+
water
Conditions
Typical solvents protic
Identifiers
RSC ontology ID RXNO:0000109

The Pfitzinger reaction (also known as the Pfitzinger-Borsche reaction) is the chemical reaction of isatin with base and a carbonyl compound to yield substituted quinoline-4-carboxylic acids.[1][2]

The Pfitzinger reaction
The Pfitzinger reaction

Several reviews have been published.[3][4][5]

Reaction mechanism

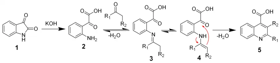
The mechanism of the Pfitzinger reaction
The mechanism of the Pfitzinger reaction

The reaction of isatin with a base such as potassium hydroxide hydrolyses the amide bond to give the keto-acid 2. This intermediate can be isolated, but is typically not. A ketone (or aldehyde) will react with the aniline to give the imine (3) and the enamine (4). The enamine will cyclize and dehydrate to give the desired quinoline (5).

Variations

Halberkann variant

The Halberkann variant of the Pfitzinger reaction
The Halberkann variant of the Pfitzinger reaction

Reaction of N-acyl isatins with base gives 2-hydroxy-quinoline-4-carboxylic acids.[6]

See also

References

  1. ^ Pfitzinger, W. (1886). "Chinolinderivate aus Isatinsäure". J. Prakt. Chem. (in German). 33 (1): 100. doi:10.1002/prac.18850330110.
  2. ^ Pfitzinger, W. (1888). "Chinolinderivate aus Isatinsäure". J. Prakt. Chem. (in German). 38 (1): 582–584. doi:10.1002/prac.18880380138.
  3. ^ Manske, R. H. (1942). "The Chemistry of Quinolines". Chem. Rev. 30 (1): 113–144. doi:10.1021/cr60095a006.
  4. ^ Bergstrom, F. W. (1944). "Heterocyclic Nitrogen Compounds. Part IIA. Hexacyclic Compounds: Pyridine, Quinoline, and Isoquinoline". Chem. Rev. 35 (2): 77–277. doi:10.1021/cr60111a001.
  5. ^ Shvekhgeimer, M. G.-A. (2004). "The Pfitzinger Reaction". Chem. Heterocycl. Compd. 40 (3): 257–294. doi:10.1023/B:COHC.0000028623.41308.e5. S2CID 97698676.)
  6. ^ Halberkann, J. (1921). "Abkömmlinge der Chininsäure". Chem. Ber. (in German). 54 (11): 3090–3107. doi:10.1002/cber.19210541118.