Firoozbakht's conjecture

Prime gap function

In number theory, Firoozbakht's conjecture (or the Firoozbakht conjecture[1][2]) is a conjecture about the distribution of prime numbers. It is named after the Iranian mathematician Farideh Firoozbakht who stated it in 1982.

The conjecture states that (where is the nth prime) is a strictly decreasing function of n, i.e.,

Equivalently:

see OEISA182134, OEISA246782.

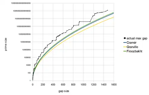
By using a table of maximal gaps, Farideh Firoozbakht verified her conjecture up to 4.444×1012.[2] Now with more extensive tables of maximal gaps, the conjecture has been verified for all primes below 2641.84×1019.[3][4][5]

If the conjecture were true, then the prime gap function would satisfy:[6]

Moreover:[7]

see also OEISA111943. This is among the strongest upper bounds conjectured for prime gaps, even somewhat stronger than the Cramér and Shanks conjectures.[4] It implies a strong form of Cramér's conjecture and is hence inconsistent with the heuristics of Granville and Pintz[8][9][10] and of Maier[11][12] which suggest that

occurs infinitely often for any where denotes the Euler–Mascheroni constant.

Three related conjectures (see the comments of OEISA182514) are variants of Firoozbakht's. Forgues notes that Firoozbakht's can be written

where the right hand side is the well-known expression which reaches Euler's number in the limit , suggesting the slightly weaker conjecture

Nicholson and Farhadian[13][14] give two stronger versions of Firoozbakht's conjecture which can be summarized as:

where the right-hand inequality is Firoozbakht's, the middle is Nicholson's (since ; see Prime number theorem § Non-asymptotic bounds on the prime-counting function), and the left-hand inequality is Farhadian's (since ; see Prime-counting function § Inequalities).

All have been verified to 264.[5]

See also

Notes

  1. ^ Ribenboim, Paulo (2004). The Little Book of Bigger Primes (Second ed.). Springer-Verlag. p. 185. ISBN 978-0-387-20169-6.
  2. ^ a b Rivera, Carlos. "Conjecture 30. The Firoozbakht Conjecture". Retrieved 22 August 2012.
  3. ^ Oliveira e Silva, Tomás (December 30, 2015). "Gaps between consecutive primes". Retrieved 2024-11-01.
  4. ^ a b Kourbatov, Alexei. "Prime Gaps: Firoozbakht Conjecture".
  5. ^ a b Visser, Matt (August 2019). "Verifying the Firoozbakht, Nicholson, and Farhadian conjectures up to the 81st maximal prime gap". Mathematics. 7 (8) 691. arXiv:1904.00499. doi:10.3390/math7080691.
  6. ^ Sinha, Nilotpal Kanti (2010), "On a new property of primes that leads to a generalization of Cramer's conjecture", arXiv:1010.1399 [math.NT].
  7. ^ Kourbatov, Alexei (2015), "Upper bounds for prime gaps related to Firoozbakht's conjecture", Journal of Integer Sequences, 18 (Article 15.11.2), arXiv:1506.03042, MR 3436186, Zbl 1390.11105.
  8. ^ Granville, A. (1995), "Harald Cramér and the distribution of prime numbers" (PDF), Scandinavian Actuarial Journal, 1: 12–28, doi:10.1080/03461238.1995.10413946, MR 1349149, Zbl 0833.01018, archived from the original (PDF) on 2016-05-02.
  9. ^ Granville, Andrew (1995), "Unexpected irregularities in the distribution of prime numbers" (PDF), Proceedings of the International Congress of Mathematicians, 1: 388–399, doi:10.1007/978-3-0348-9078-6_32, ISBN 978-3-0348-9897-3, Zbl 0843.11043.
  10. ^ Pintz, János (2007), "Cramér vs. Cramér: On Cramér's probabilistic model for primes", Funct. Approx. Comment. Math., 37 (2): 232–471, doi:10.7169/facm/1229619660, MR 2363833, S2CID 120236707, Zbl 1226.11096
  11. ^ Adleman, Leonard M.; McCurley, Kevin S. (1994), "Open problems in number-theoretic complexity. II", in Adleman, Leonard M.; Huang, Ming-Deh (eds.), Algorithmic Number Theory: Proceedings of the First International Symposium (ANTS-I) held at Cornell University, Ithaca, New York, May 6–9, 1994, Lecture Notes in Computer Science, vol. 877, Berlin: Springer, pp. 291–322, doi:10.1007/3-540-58691-1_70, ISBN 3-540-58691-1, MR 1322733
  12. ^ Maier, Helmut (1985), "Primes in short intervals", The Michigan Mathematical Journal, 32 (2): 221–225, doi:10.1307/mmj/1029003189, ISSN 0026-2285, MR 0783576, Zbl 0569.10023
  13. ^ Rivera, Carlos (2016). "Conjecture 78: Pn^(Pn+1/Pn)^n<=n^Pn". PrimePuzzles.net. Retrieved 2024-11-01.
  14. ^ Farhadian, Reza (October 2017). "On a New Inequality Related to Consecutive Primes". Acta Universitatis Danubius. Œconomica. 13 (5): 236–242. Archived from the original on 2018-04-19.

References

  • Ribenboim, Paulo (2004). The Little Book of Bigger Primes (Second ed.). Springer-Verlag. ISBN 0-387-20169-6.
  • Riesel, Hans (1985). Prime Numbers and Computer Methods for Factorization (Second ed.). Birkhauser. ISBN 3-7643-3291-3.