A-level Applied Science/Synthesising Organic Compounds/Organic chemicals
Organic compounds and functional groups
The chemistry of carbon is almost entirely due to covalent bonding. Almost without limit, carbon can form four covalent bonds with a wide range of non-metallic elements. Carbon is able to form long chains of atoms to form quite stable molecules. The chains may be branched or form loops. Many other atoms will form stable bonds to carbon. Carbon can also form multiple bonds e.g. a carbon atom can form a triple bond to another carbon atom, or a nitrogen atom. Here are some examples of organic compounds. For each element, carbon, hydrogen, nitrogen, count how many covalent bonds the element forms. For each element, does the number of bonds change?
octane
butanamide
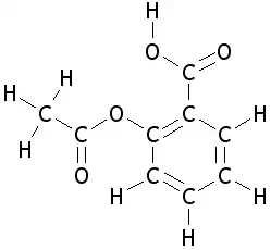
aspirin
| Element | Number of bonds formed |
| Carbon | |
| Hydrogen | |
| Oxygen | |
| Nitrogen |
Because the bonding of each element is so regular, it is common to write the structures without showing every atom and bond:
Draw the full structures (showing all atoms and bonds) of these molecules:
CH3CH2CH2CH2CH3 pentane
trans-3-methylhex-3-ene
Aliphatic compounds
‘Aliphatic’ organic compounds are based on simple chains of carbon atoms. Other organic compounds are based around the ring structure of benzene and are known as ‘aromatic’.
Classify these compounds as aromatic or aliphatic:
Pentane Butanamide Aspirin
The naming and chemistry of aromatic compounds is not covered in these notes.
Naming aliphatic compounds is fairly simple. The name is based on the longest single chain of carbon atoms:
| Methane | CH4 |
| Ethane | CH3CH3 |
| Propane | CH3CH2CH3 |
| Butane | CH3CH2CH2CH3 |
| Pentane | CH3CH2CH2CH2CH3 |
| Hexane | CH3CH2CH2CH2CH2CH3 |
| Heptane | CH3CH2CH2CH2CH2CH2CH3 |
| Octane | CH3CH2CH2CH2CH2CH2CH2CH3 |
These are simple ‘alkane’ compounds. Some other patterns of atoms are seen over and over again. These are called ‘functional groups’ and each has characteristic chemistry. They are named by attaching a suffix or prefix to the name of the relevant alkane e.g. ethanol (ethane + -ol) is an alcohol with two carbon atoms, butanamide (butane + -amide) is an amide with four carbons. Complete the following table:
| Functional group | Structure | Name | Example |
| Alkene | |||
| Alcohol | |||
| Amine | |||
| Carboxylic acid | |||
| Primary amide | |||
| Ester | |||
| Secondary amide | |||
| Aldehyde | |||
| Ketone |
Structural formulae and three-dimensional shapes. The basic shape of organic molecules is based on the tetrahedron and the equilateral triangle. Use models (either on the computer or the plastic kits available in class) to examine and draw the following shapes: Carbon with just single bonds: e.g. CH4
Carbon with one double bond: e.g. CH2CH2
Nitrogen and oxygen are similar, but without all four bonds: Compare:
CH3CH3 CH3OH CH3NH2
CH2CH2 CH2O
Isomers
There are two molecules with the formula C4H10. What are their structures? What are their names?
These molecules are isomers: different compounds with the same formula. Because the bonding is different in the two C4H10 isomers, they are called ‘structural isomers’. Note that to make one isomer into another, you need to break at least one bond. There are three structural isomers of C3H8O. Try to draw and name them:
Numbers are included in the name when the functional group could be attached more than one carbon atom. There are six isomers with the formula C4H8. How many can you draw? How many can you name?
Conformations
Using models, notice how a single bond can easily rotate. Double bonds will not rotate unless broken. Because you need to break the double bond to rotate it, there are two isomers of but-2-ene:
The bonding is the same in these two molecules, so they are not ‘structural isomers’. They are ‘stereoisomers’. Draw the stereoisomers of these compounds and name them. If there are no stereoisomers then say so. Propen-1-ol
Propen-2-ol
Pent-2-ene